उच्च गुणवत्ता वाले बेटडेक्स सल्फोब्यूटाइल ईथर सोडियम (SBE-and-CD)-फार्मा ग्रेड साइक्लोडेक्सट्रिन एक्सिपिएंट-CAS 182410-00-0। घुलनशीलता, स्थिरता और जैवउपलब्धता में सुधार करता है।
	 
 
	
Betadex सल्फोबुटिल ईथर सोडियम (SBE-and-CD)-फार्मा ग्रेड Cyclodextrin excipient-CAS 182410-00-0
	
उपस्थिति: सफेद पाउडर, मीठा, insipid और सहज
	
शेल्फ जीवन: 36 महीने
	
ग्रेड: इंजेक्शन ग्रेड
	
आवेदन: फार्मास्यूटिकल्स फ़िल्ड
	
मानक: यूएसपी, ईपी
	
घुलनशीलता: ≥100 (25 ℃, g/100ml)
	
भारी धातु: .00.0025%
	
शर्करा को कम करना: ≤0.05%
	
	
सल्फोब्यूटिलर-β-cyclodextrin फार्मास्युटिकल एक्सिपिएंट न केवल दवा घुलनशीलता को बढ़ा सकता है, दवा की स्थिरता और सुरक्षा में सुधार कर सकता है, यह प्रशासन के इंजेक्शन साइट को उत्तेजना को कम कर सकता है, दवा जल्दी से आवश्यक रक्त एकाग्रता तक पहुंच जाती है, दवा कार्रवाई के समय को लम्बा कर देती है।
	
इंट्रानैसल ड्रग जिसमें तेजी से अवशोषण, तेजी से अभिनय, उच्च जैवउपलब्धता, सुविधाजनक प्रशासन, रोगियों द्वारा स्वीकार किया जाना आसान है, और यकृत पहले पास प्रभाव और अन्य लाभों से बच सकते हैं, दवा अनुसंधान में हॉटस्पॉट में से एक बन गया है। हालांकि, नाक की दवाओं की कम पैठ के कारण, नाक गुहा में कई एंजाइम गिरावट और नाक के आसंजन का कारण बन सकते हैं।
	
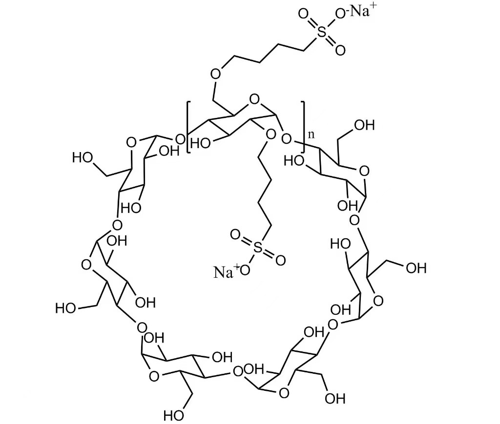
सल्फोब्यूटिलर-β-cyclodextrin फार्मास्युटिकल एक्सिपिएंट एक सोडियम नमक है जब बेटडेक्स को क्षारीय परिस्थितियों में 1,4-ब्यूटेनसुल्फोनिक एसिड लैक्टोन द्वारा अल्काइलेट किया जाता है। यह एक आयनों, अत्यधिक पानी में घुलनशील बेटडेक्स व्युत्पन्न है। सल्फोब्यूटिलर-β-cyclodextrin फार्मास्युटिकल एक्सिपिएंट को दवा के अणुओं के साथ अच्छी तरह से जोड़ा जा सकता है, जिससे गैर-सहसंयोजक बनता है, जिससे दवा की स्थिरता, पानी की घुलनशीलता और सुरक्षा को बढ़ाता है, अपनी गुर्दे की विषाक्तता को कम करता है, दवा हेमोलिसिस को कम करता है, नशीली दवाओं की रिहाई की दर को नियंत्रित करता है, खराब गंध को ढँक देता है।
	
	
	 
 
	
शीआन डेली बायोकेमिकल इंडस्ट्री कं, लिमिटेड। साइक्लोडेक्सट्रिन और इसके डेरिवेटिव के अनुसंधान और विकास, उत्पादन और बिक्री में विशेषज्ञता वाला एक उच्च तकनीक वाला उद्यम है।
27 अगस्त, 1999 को अपनी स्थापना के बाद से, कंपनी "सामान पर ध्यान केंद्रित करने, पहले गुणवत्ता, ईमानदार सेवा, प्रथम श्रेणी के लिए प्रयास" की गुणवत्ता नीति का पालन कर रही है। 20 से अधिक वर्षों की कड़ी मेहनत और विकास के बाद, कंपनी के पास वर्तमान में उत्पादों के पास डेली ब्रांड हाइड्रॉक्सीप्रोपाइल बेटडेक्स, डेली ब्रांड बेटडेक्स सल्फोबुटिल ईथर सोडियम है। उपरोक्त उत्पादों को एफडीए के साथ पंजीकृत और दायर किया गया है।
	
	