X
IMG
VIDEO

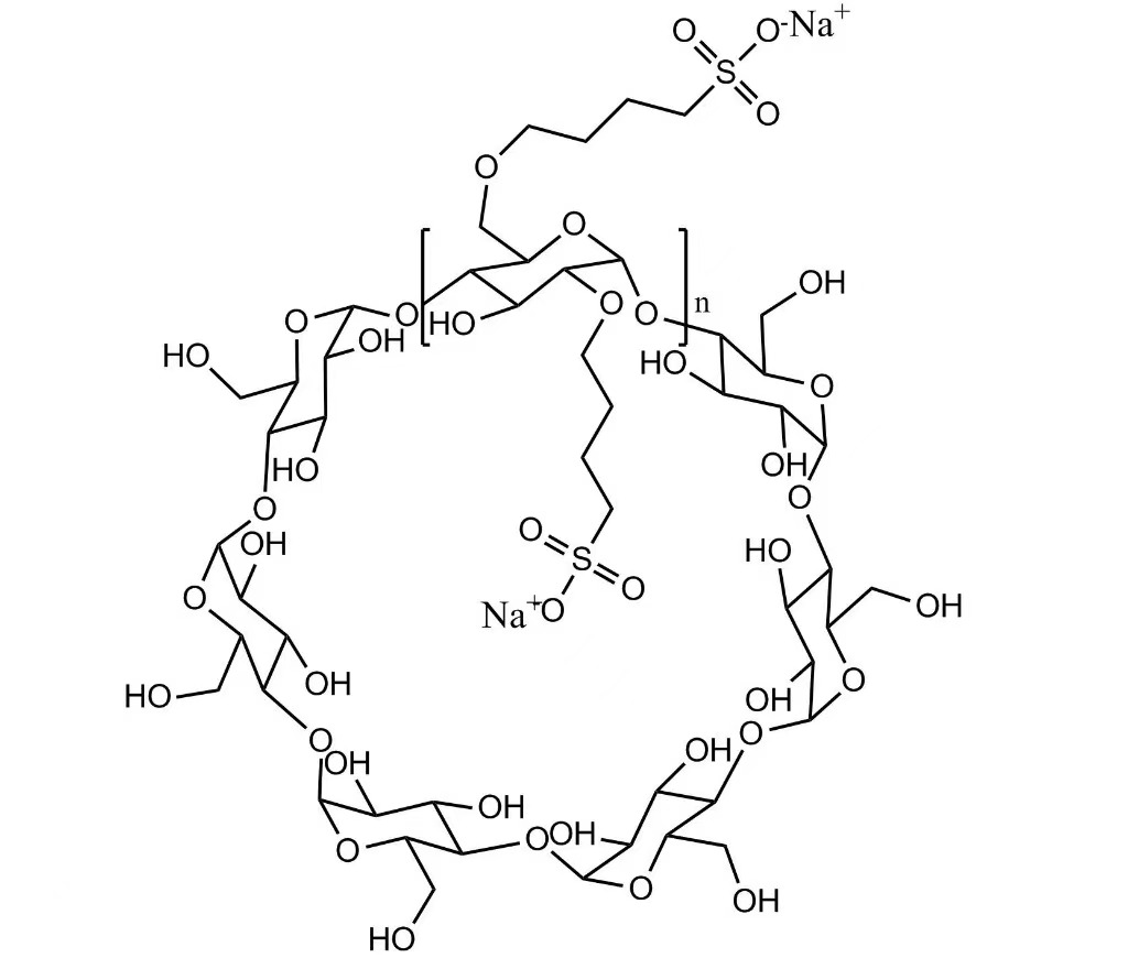
एसबीई-बीटा-सीडी सल्फोब्यूटाइलथर बीटा साइक्लोडेक्सट्रिन सोडियम इंजेक्टेबल फार्मास्युटिकल एक्सीसिएंट

DELI से चीन में निर्मित थोक SBE-β-CD सल्फोब्यूटाइलथर बीटा साइक्लोडेक्सट्रिन सोडियम इंजेक्टेबल फार्मास्युटिकल एक्सीसिएंट। एसबीई-बीटा-सीडी (सल्फोब्यूटाइलथर बीटा साइक्लोडेक्सट्रिन सोडियम) एक अत्यधिक पानी में घुलनशील इंजेक्टेबल फार्मास्युटिकल एक्सीसिएंट है जिसका उपयोग प्रतिवर्ती समावेशन जटिल गठन के माध्यम से खराब घुलनशील एपीआई की घुलनशीलता, स्थिरता और सुरक्षा को बढ़ाने के लिए किया जाता है।

जांच भेजें

उत्पाद वर्णन


एसबीई-बीटा-सीडी सल्फोब्यूटाइलथर बीटा साइक्लोडेक्सट्रिन सोडियम इंजेक्टेबल फार्मास्युटिकल एक्सीसिएंट

एसबीई-बीटा-सीडी (सल्फ़ोब्यूटाइलथर बीटा साइक्लोडेक्सट्रिन सोडियम) एक अत्यधिक पानी में घुलनशील, आयनिक β-साइक्लोडेक्सट्रिन व्युत्पन्न है जिसे इंजेक्टेबल फार्मास्युटिकल अनुप्रयोगों के लिए डिज़ाइन किया गया है। यह सक्रिय फार्मास्युटिकल अवयवों (एपीआई) के साथ स्थिर, गैर-सहसंयोजक समावेशन परिसरों का निर्माण करता है, जिससे खराब पानी में घुलनशील दवाओं की घुलनशीलता, स्थिरता और सुरक्षा में काफी सुधार होता है।

अपनी उत्कृष्ट जैव अनुकूलता, कम हेमोलिटिक गतिविधि और नियंत्रित विषाक्तता प्रोफ़ाइल के कारण, एसबीई-बीटा-सीडी का व्यापक रूप से कई चिकित्सीय क्षेत्रों में पैरेंट्रल दवा वितरण प्रणालियों में उपयोग किया जाता है।


मुख्य लाभ


एसबीई-बीटा-सीडी फॉर्मूलेशन सुरक्षा बनाए रखते हुए हाइड्रोफोबिक एपीआई की जलीय घुलनशीलता को बढ़ाता है। पारंपरिक घुलनशील एजेंटों की तुलना में, यह गुर्दे की विषाक्तता को कम करता है और इंजेक्शन स्थलों पर कम जलन दिखाता है, जो इसे बार-बार पैरेंट्रल प्रशासन के लिए उपयुक्त बनाता है।


फार्मास्युटिकल अनुप्रयोग


एसबीई-बीटा-सीडी को मुख्य रूप से इंजेक्शन योग्य और बाँझ फॉर्मूलेशन में लागू किया जाता है, जिसमें अंतःशिरा, इंट्रामस्क्यूलर और चमड़े के नीचे खुराक के रूप शामिल हैं। इसका उपयोग आमतौर पर एंटीवायरल, एंटीफंगल, ऑन्कोलॉजी और कार्डियोवैस्कुलर दवा उत्पादों में किया जाता है, जहां उच्च घुलनशीलता और फॉर्मूलेशन स्थिरता महत्वपूर्ण होती है।


उत्पाद विशिष्टताएँ


रासायनिक नाम सल्फोब्यूटाइलथर बीटा साइक्लोडेक्सट्रिन सोडियम
CAS संख्या। 182410-00-0
उपस्थिति सफ़ेद से मटमैला-सफ़ेद अनाकार पाउडर
श्रेणी इंजेक्टेबल फार्मास्युटिकल एक्सीसिएंट
घुलनशीलता पानी में स्वतंत्र रूप से घुलनशील
परख 95.0% - 105.0% (निर्जल आधार)
प्रतिस्थापन की औसत डिग्री (डीएस) 6.2 – 6.9
बैक्टीरियल एंडोटॉक्सिन ≤ 10 ईयू/जी
मानकों यूएसपी/ईपी
शेल्फ जीवन 36 महीने


पैकेजिंग विशिष्टताएँ


उपलब्ध पैकेजिंग विकल्पों में 500 ग्राम/बैग, 1 किग्रा/बैग, 10 किग्रा/बैग और 10 किग्रा/ड्रम शामिल हैं। वाणिज्यिक आपूर्ति के लिए अनुरोध पर अनुकूलित पैकेजिंग उपलब्ध है।


गुणवत्ता आश्वासन


SBE-β-CD के सभी बैच एक सख्त गुणवत्ता प्रबंधन प्रणाली के तहत निर्मित होते हैं और व्यापक विश्लेषणात्मक परीक्षण से गुजरते हैं। अशुद्धियाँ, एंडोटॉक्सिन, प्रतिस्थापन की डिग्री और बैच-टू-बैच स्थिरता जैसे प्रमुख गुणवत्ता मानकों को कसकर नियंत्रित किया जाता है।

प्रत्येक शिपमेंट के साथ पूर्ण पता लगाने की क्षमता और नियामक अनुपालन सुनिश्चित करने के लिए विश्लेषण प्रमाणपत्र (सीओए) होता है।


कंपनी योग्यताएँ एवं प्रमाणपत्र


शीआन डेली बायोकेमिकल इंडस्ट्री कं, लिमिटेड एक उच्च तकनीक उद्यम है जो साइक्लोडेक्सट्रिन और उनके डेरिवेटिव के अनुसंधान, विकास और निर्माण में विशेषज्ञता रखता है। 1999 में स्थापित, कंपनी के पास 26 वर्षों से अधिक का उद्योग अनुभव है।

कंपनी नियंत्रित स्वच्छ विनिर्माण क्षेत्रों के साथ समर्पित फार्मास्युटिकल सहायक उत्पादन लाइनें संचालित करती है। इसकी गुणवत्ता प्रबंधन प्रणाली ने ISO 9001 प्रमाणीकरण पारित कर दिया है, और मुख्य उत्पाद FDA सहित प्रासंगिक नियामक प्राधिकरणों के साथ पंजीकृत या दायर किए गए हैं।


विनिर्माण क्षमता


शीआन डेली बायोकेमिकल ने SBE-β-CD के लिए बड़े पैमाने पर व्यावसायिक उत्पादन क्षमता स्थापित की है, जो वैश्विक दवा ग्राहकों के लिए विश्वसनीय दीर्घकालिक आपूर्ति सुनिश्चित करती है।

वार्षिक उत्पादन क्षमता 200 मीट्रिक टन से अधिक है, सामान्य बैच का आकार लगभग 2.5 मीट्रिक टन है।


अक्सर पूछे जाने वाले प्रश्न

Q1: इंजेक्टेबल फॉर्मूलेशन में SBE-β-CD का मुख्य कार्य क्या है?
ए: एसबीई-बीटा-सीडी मुख्य रूप से एक घुलनशील और स्टेबलाइजर के रूप में कार्य करता है, जो प्रतिवर्ती समावेशन जटिल गठन के माध्यम से खराब पानी में घुलनशील एपीआई की जलीय घुलनशीलता और सुरक्षा में सुधार करता है।


Q2: क्या SBE-β-CD बार-बार अंतःशिरा प्रशासन के लिए उपयुक्त है?
उत्तर: हाँ. एसबीई-बीटा-सीडी पारंपरिक घुलनशील एजेंटों की तुलना में कम हेमोलिटिक गतिविधि और कम गुर्दे की विषाक्तता को प्रदर्शित करता है, जो इसे बार-बार पैरेंट्रल उपयोग के लिए उपयुक्त बनाता है।


Q3: क्या आपका उत्पाद फार्माकोपियल मानकों का अनुपालन करता है?
ए: हमारी एसबीई-बीटा-सीडी यूएसपी और ईपी आवश्यकताओं का अनुपालन करती है और प्रमाणित गुणवत्ता प्रबंधन प्रणाली के तहत निर्मित होती है।


Q4: क्या तकनीकी दस्तावेज उपलब्ध कराया जा सकता है?
उत्तर: हाँ. सीओए, विनिर्देश और तकनीकी डेटा अनुरोध पर उपलब्ध हैं।



हॉट टैग: एसबीई-बीटा-सीडी सल्फोब्यूटाइलथर बीटा साइक्लोडेक्सट्रिन सोडियम इंजेक्टेबल फार्मास्युटिकल एक्सीसिएंट, निर्माता, आपूर्तिकर्ता, चीन, फैक्टरी, थोक, मुफ्त नमूना, चीन में निर्मित, स्टॉक में, थोक, खरीदें

संबंधित श्रेणी

जांच भेजें

कृपया नीचे दिए गए फॉर्म में अपनी पूछताछ देने के लिए स्वतंत्र महसूस करें। हम आपको 24 घंटों में जवाब देंगे।
icon
X
हम आपको बेहतर ब्राउज़िंग अनुभव प्रदान करने, साइट ट्रैफ़िक का विश्लेषण करने और सामग्री को वैयक्तिकृत करने के लिए कुकीज़ का उपयोग करते हैं। इस साइट का उपयोग करके, आप कुकीज़ के हमारे उपयोग से सहमत हैं। गोपनीयता नीति
अस्वीकार करना स्वीकार करना